<address id="fxhpl"><address id="fxhpl"><nobr id="fxhpl"></nobr></address></address>
    <address id="fxhpl"><form id="fxhpl"></form></address>

          <address id="fxhpl"></address>

            <noframes id="fxhpl">
                <address id="fxhpl"></address>

                <span id="fxhpl"></span>

                <noframes id="fxhpl">

                800-988-1801

                首頁 > 資訊 > 檢測知識

                回彈法檢測混凝土強度的幾個注意問題

                   日期:2017-05-18

                    混凝土強度非破損檢測 技術雖然起步較晚,但發展速度卻很快,尤其是在歐美國家,近20年來先后研發一系列用于混凝土強度非破損檢測的先進儀器,例如超聲波探測儀、拔出法測定儀等。

                    但是回彈法仍以其儀器簡單、操作方便、經濟迅速和具有相當的測試精度,而始終保持著它在混凝土非破損領域內的優勢地位。在歷屆國際混凝土非破損會議上,回彈法的研究和應用仍占相當的比重。雖然回彈法具有一定的局限性,但這種方法在混凝土非破損中的檢測作用,國際上給予了充分的肯定。

                    我國建設部于1985 年頒布了《回彈法評定混凝土抗壓強度技術規程》(JGJ 23—85),這是我國第一部混凝土非破損檢測的專業標準,在此基礎上又進行了修訂,于1992 年改名為《回彈法檢測混凝土抗壓強度技術規程》(JGJ/T 23—92) (以下簡稱《規程》)。近幾年來, 在執行此《規程》中, 由于檢測人員對規程的理解有誤, 出現了這樣或那樣的偏差, 使得對混凝土質量的評定有誤,必須引起有關人員的足夠重視。


                —— 一、回彈代替留置試塊 ——

                    《規程》中規定:“本規程適用于工程結構中的普通混凝土抗壓強度的檢測。”據此,有的施工單位就用其代替施工過程中混凝土試塊的留置,這是一種對《規程》的錯誤理解。

                    結構混凝土強度的檢驗與評定,應按國家標準《混凝土結構工程施工及驗收規范》(GBJ 50204—92) 及《混凝土強度檢驗評定標準》(GBJ 107—87) 執行。當對結構混凝土強度有懷疑或留置的試塊數量不足時,才可按《規程》進行檢測,檢測結果可作為處理混凝土質量的一個依據。隨著質檢監督力度的加大,由回彈法檢測代替留置試塊的現象逐漸減少,但在中小工程中還時有發生。

                砼構件回彈法檢測
                圖 砼構件回彈法檢測


                —— 二、檢測表面受害的結構混凝土 ——

                    回彈法檢測混凝土強度,是通過回彈儀測定混凝土表面硬度,進而推定其抗壓強度的方法。它的使用前提是要求被檢測結構或構件混凝土的內外質量一致。因此,當混凝土表面受害,內外部質量有明顯差異時,不允許使用回彈法檢測。

                    混凝土表面受害包括: 化學腐蝕、火災及硬化期間受凍等。如果混凝土表面受害仍用回彈法檢測,其結果會造成誤判。

                    例如某住宅樓澆筑C15混凝土圈梁時,由于冬季施工措施不當,而使混凝土表層受凍,解凍后回彈檢測其抗壓強度為12.8MPa,取芯樣檢測的強度為17.5MPa。兩種檢測方法的結果出現較大差異。

                    如果按回彈法檢測結果勢必要判為不合格而進行處理,造成不必要的浪費。因此,遇到表面受害的混凝土檢測,應選用取芯樣、超聲波等方法進行。如果條件不具備,必須對混凝土表面進行處理,達到內外一致后,才能進行回彈檢測。

                回彈儀檢測混凝土回彈儀檢測混凝土
                圖 回彈儀水平方向檢測混凝土澆筑表面或澆筑底面


                —— 三、不測定碳化深度 ——

                    水泥一經水化就要析出氫氧化鈣Ca(OH)2,它與空氣中的二氧化碳發生反應,生成硬度較高的碳酸鈣CaCO3, 這就是混凝土的碳化現象。

                    由于碳化作用使混凝土表面硬度增加,回彈值增大,但混凝土內部的抗壓強度沒有變化,在測試過程中要扣除因混凝土碳化而增大的回彈值。

                    因此,在測區回彈測試完成后,根據《規程》規定,要測量碳化深度。但是,在實際操作中,有的檢測人員不實地測量碳化深度,而是根據混凝土澆筑的時間,按經驗推算,這是錯誤的作法。因為混凝土的碳化不僅同齡期有關,還同混凝土所用的水泥品種,混凝土的強度等級,密實度以及混凝土所處的環境條件有關。

                    普通硅酸鹽水泥的抗碳化能力要優于礦渣水泥,火山灰水泥,粉煤灰水泥;混凝土強度等級越高,密實度越大,抗碳化能力越強;在環境因素中,大氣中CO2濃度和周圍介質的相對濕度對碳化影響最大。

                    在大氣中存在水分的條件下,混凝土的碳化速度隨著CO2 濃度的增加而加快。當大氣中的相對濕度在50%~ 75% 時,碳化速度最快;濕度過小, 混凝土孔隙中沒有足夠的水分使CO2 生成碳酸鈣, 碳化作用也不易進行; 濕度過大, 混凝土孔隙中充滿了水,CO2 不易進入到水泥石中,碳化作用也不易進行。因此,用混凝土齡期推算碳化深度的作法是錯誤的,一定要在被測結構或構件上實測碳化深度。

                    實踐證明,在混凝土質量基本一致的同一構件的各測區,所處的環境條件基本一致,碳化深度值差異不大。因此,一個構件中不必每個測區都測定碳化深度,選擇有代表性的1~ 2 處測量碳化深度即可, 否則會增加不必要的工作量。測量碳化深度時,要用碳化深度測量儀或用深度卡尺。用鋼板尺或鋼卷尺測量碳化深度誤差大,影響混凝土強度的評定結果。


                —— 四、檢測方法有誤 ——

                    按照《規程》規定, 回彈檢測的方法有兩種: 一是單個檢測,二是抽樣檢測。

                    單個檢測適用于單獨的結構或構件,如現澆整體煙囪、水塔、連續墻及結構中的柱、梁、板、基礎等。抽樣檢測適用于相同的生產工藝條件下,混凝土強度等級相同,原材料配合比、成型工藝、養護基本一致且齡期相近的同類構件。

                    單個構件檢測并進行評定較容易掌握,而抽樣檢測往往在檢測批的劃分上出現偏差,也就是在“齡期相近”和“同類構件”的掌握上出現錯誤。

                    有人在檢測時,對一棟樓房不論施工期長短,都作為一批檢測,這是錯誤的。因為“一批”結構或構件,往往延續時間較長,而回彈法測試一般在一天或幾天內完成,所評定的混凝土強度,是在一天或幾天內該結構或構件所達到的“及時強度”。

                    對于施工延續時間較長、對同一設計強度的混凝土來說,如果用在相同幾天內測試的“及時強度”來評定這“一批”結構或構件的強度,顯然是不正確的。另有檢測者對同層梁、柱、陽臺等構件混合抽樣檢測, 進行總體評定也是不正確的。

                    關于“齡期相近”的含義,是在劃分抽樣檢測的范圍時, 一般可按施工齡期的前后相差在15% 以內掌握,超過15% 時可另劃分檢測范圍, 或按單個構件檢測。

                    “同類構件”是指在檢測范圍內,配筋、外形尺寸等基本相同或同一型號的結構或構件。例如現澆多層鋼筋混凝土框架結構,需要對每層的混凝土強度進行檢測時,可根據需要對該層的同類柱子或同類梁等構件,采取抽樣方法分別進行總體評定。


                —— 五、混凝土強度評定 ——

                    如何推定被檢測結構或構件混凝土的強度, 是能否正確判斷結構或構件混凝土質量的關鍵。按照《規程》規定, 構件混凝土強度的推定分兩種:

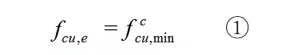
                    1)按單個構件檢測時,以最小值為該構件混凝土強度的推定值:



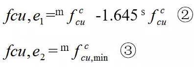
                    2)按批量抽樣檢測時, 按下列公式計算:   


                    取公式②、③中的較大值為該批構件的混凝土強度推定值

                    在實際操作中,有的檢測者為了保險起見,取上述公式中的小值,這是錯誤的。根據筆者的檢測經驗,以最小值作為構件強度的推定值,要比一組立方體試件強度的平均值低,實測二者強度保證率并不一樣,前者的保證率大于后者。

                    另外,在檢測中也經常出現測區間標準差過大的現象,這說明有某些偶然因素在起作用,要認真加以分析,慎重取舍。特別要注意批量的劃分是否正確,不能按批量進行推定時,要按單個構件進行評定,以免造成誤判。

                W7jJx128yo/b/mBhinWy2q4nyEx6IiHoqbqxH3t0V3j7jDusfoVPu5w5Qv3yTCcTMV4sM7FWIj6Gfyq9+KqyKeZngQsYHMvmyQz7OPQjbO7PVtMQfFyjvynwssHnVrPd6jcuxEfzuxN1B7Xv34HYfwlW19BL5ScHM0PaG2OwTML+a61zBeqM7dRupUwTGDGBX2vtuXY39js= 啦啦啦中文免费观看在线