<address id="fxhpl"><address id="fxhpl"><nobr id="fxhpl"></nobr></address></address>
    <address id="fxhpl"><form id="fxhpl"></form></address>

          <address id="fxhpl"></address>

            <noframes id="fxhpl">
                <address id="fxhpl"></address>

                <span id="fxhpl"></span>

                <noframes id="fxhpl">

                800-988-1801

                首頁 > 資訊 > 檢測知識

                結構分析無法解決的問題——現場荷載試驗

                   日期:2017-07-14

                1 試驗的目的

                當需要通過試驗檢驗既有混凝土結構受彎構件,或對結構的理論計算模型進行驗證時,可進行非破壞性的現場荷載試驗。對于大型復雜鋼結構體系也可進行非破壞性現場荷載試驗,檢驗結構的性能。

                對于大型復雜鋼結構體系也可進行非破壞性現場荷載試驗,檢驗結構的性能。


                2 混凝土結構的現場荷載試驗
                 
                加載方式
                現場試驗一般采用均布加載。均布荷載一般用荷重塊(可以采用現場經計量后的袋砂、袋石子、袋水泥或磚塊等)。荷重塊應按區格成垛堆放,垛與垛之間的間隙不宜小于50mm,以免形成拱作用。

                對小型構件(如混凝土預制板)還可根據自平衡原理,設計專門的反力裝置,利用千斤頂進行集中加載。

                若試驗荷載與目標使用期內的荷載形式不同,應按荷載等效原則換算。
                 
                數據采集與現象觀察

                每級加、卸載完成后,應持續10~15min;在最大試驗荷載作用下,應持續30min。在持續時間內,應觀察試驗構件的反應。持續時間結束時,應觀察并記錄各項讀數。構件的撓度可用百分表、位移傳感器、水平儀等進行觀測。
                 
                承載力檢驗

                試驗時的最大荷載值(包括自重)取目標使用期內的荷載驗算值(目標使用期內的荷載驗算值取荷載的標準值乘以荷載分項系數)的1.55倍。

                當在規定的荷載持續時間內出現下表的破壞標志之一時,說明構件不能滿足承載力要求,應取本級荷載值與前一級荷載值的平均值作為其承載力檢驗荷載的實測值,并根據表中建議的方法推算構件在目標使用期內能夠承受的荷載驗算值。



                受彎構件撓度檢驗
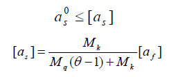
                注,as0----目標使用期內荷載標準值作用下構件撓度實測值;
                [as]----撓度允許值;
                [af]---- 按《混凝土結構設計規范》(GB50010-2002)確定的受彎構件的撓度限值;
                Mk----目標使用期內按荷載標準組合計算的彎矩值;
                Mq----目標使用期內按荷載準永久組合計算的彎矩值;
                θ----考慮荷載長期作用對撓度增大的影響系數,按《混凝土結構設計規范》(GB50010-2002)確定。
                主要是考慮現場試驗為短期加載,實際結構長期受荷,故而引入5%的余量。

                注,qcr----試驗中實測的開裂荷載(包括自重);
                qk----目標使用期內的荷載標準值(包括自重)。
                 
                裂縫寬度檢驗
                注,----目標使用期內荷載標準值下,受拉主筋處的最大裂縫寬度實測值(mm);
                [wmax]----構件的最大裂縫寬度允許值,按下表取用。



                3 鋼木結構的現場荷載試驗

                實例:

                1)樓面活荷載標準值為1.5kN/m2,未作用在現有樓板上的恒荷載標準值為0.2kN/m2左右。

                2)試驗樓板在標準組合下的荷載值(即荷載標準值,不考慮樓板自重和板底粉刷)為1.7kN/m2

                3)基本組合下的荷載值(即設計值)計算時,恒荷載分項系數取1.2,并考慮現有樓板自重標準值(100mm厚現澆樓板和12mm厚板底粉刷,近似取2.8 kN/m2)的20%;活荷載分項系數取1.4,即基本組合下的荷載值為2.9kN/m2

                4)根據國家標準《混凝土結構施工質量驗收規范》(GB 50204-2002)有關技術規定,達到承載能力極限狀態時受壓區混凝土破壞的受彎構件,其承載力檢驗系數取1.3。

                5)承載能力檢驗荷載計算值為3.77 kN/m2

                6)鑒于堆載試驗時不能考慮活荷載不利布置的影響,加載荷載取“承載能力檢驗荷載計算值x1.1”,即取4.15kN/m2

                7hFo6ynFtzOIfo47n2m+Iq4nyEx6IiHoqbqxH3t0V3hDw/QAITK8qlbDJPB5/FnZM6Hiq4ndLfiYBp3F+xbQgZxX4FkMiO1H/jaxXb1ZsgVlNm02KexngNqsdRGxzSXB/Rxy+7W+IVFP6vbYjUhFvVsNz7MfUFIDCxEgZQGKOJE= 啦啦啦中文免费观看在线