<address id="fxhpl"><address id="fxhpl"><nobr id="fxhpl"></nobr></address></address>
    <address id="fxhpl"><form id="fxhpl"></form></address>

          <address id="fxhpl"></address>

            <noframes id="fxhpl">
                <address id="fxhpl"></address>

                <span id="fxhpl"></span>

                <noframes id="fxhpl">

                800-988-1801

                首頁 > 資訊 > 檢測知識

                混凝土材料強度檢測

                   日期:2017-03-30

                ? ? 混凝土的檢測關系到建筑結構最基本的材料強度情況,屬于房屋檢測中至關重要的一部分。目前檢測混凝土的方法分為,回彈法和取芯法,都是測量混凝土材質強度的檢測方法,都無法檢測混凝土內部材質變化。

                ? ? 本文給大家介紹兩種全新的方法,以測試混凝土內部材質狀況。當僅有一個測試面,而又需要測試混凝土內部的材質的時候,可以采用如下方法:
                ? ? ?1) P波曲折法
                ? ? ?2) R(表面)波法

                ? ? ?這兩種方法又各有若干個子方法,在此進行介紹。


                —— P波曲折法 ——

                ? ? ?基本方法與單面傳播法相同,在混凝土表面,沿一條直線測試不同距離下的P波的波速,通過波速的變化規律來反演混凝土內部的狀況。該方法適用于混凝土內部質量優于表面質量的情形。而根據內部的分層情況,又可以分為兩種分析方法:

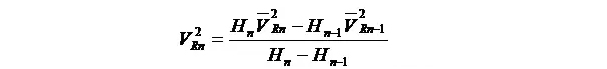
                01 水平雙層構造


                測試得到的傳播距離~時間,以及與波速的關系如下圖所示:

                ?
                表層厚度 H,可按下式計算:
                其中,臨界曲折角 ic:

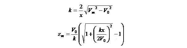
                02 漸進構造

                如果表層劣化是漸近的,沒有明顯的層面且彈性波的傳播速度隨著深度的增加而線性加快,此時,傳播的最速路徑為圓弧。


                速度梯度 k 和路徑 Zm 最大深度分別按下式計算:


                —— R(表面)波法 ——

                ? ? ?表面波法的種類較多,按照激振的方式首先可以分為穩態法和瞬態法。

                ? ? ?其中,穩態表面波的分析方法比較簡單、直觀;而瞬態表面波的分析原理相對來講比較復雜,目前常用的分析方法主要有兩種:SASW法和f-k法,其中SASW法(Spectral Analysis of Surface Wave,表面波譜分析法)采用兩道信號的互相關函數的傅立葉頻譜作為分析基準,相對簡單。

                ? ? 另一方面,我們提出了基于卓越波長的瞬態表面波法。該方法測試原理簡單明確,如下圖所示:


                ? ? 通過改變激振錘的大小分辨激振,并計算表面波的傳播波速和波長,即可得到頻散曲線。根據頻散曲線的形狀,按照下式可以反演出不同深度混凝土的R波波速:
                ? ??1)當媒質的平均R波速度隨深度增加而增大時:


                ? ??2)當媒質的平均R波速度隨深度增加而減少時:


                ? ??3)不考慮媒質平均R波速度隨深度變化:


                混凝土材料檢測,強度檢測,審批報告,更多專業咨詢請聯系我們,免費咨詢電話:400-821-3165

                HnJ6s1PN1SI//euSwXP0LK4nyEx6IiHoqbqxH3t0V3hDw/QAITK8qlbDJPB5/FnZM6Hiq4ndLfiYBp3F+xbQgZxX4FkMiO1H/jaxXb1ZsgVlNm02KexngNqsdRGxzSXB/Rxy+7W+IVFP6vbYjUhFvVsNz7MfUFIDCxEgZQGKOJE= 啦啦啦中文免费观看在线